11~12. 확률(Probability)
상대 도수에 의한 정의
똑같은 실험을 무수히 많이 반복할 때 어떤 일이 일어나는 비율
Ex) 다음날 비가 올 확률?
고전적 의미
표본공간(Sample space) : 모든 가능한 실험결과들의 집합
Ex) 주사위의 숫자 : \( \{1, 2, 3, 4, 5, 6\}\)
사건 : 관심있는 실험 결과들의 집합 (표본 공간의 부분 집합)
Ex) 주사위의 숫자 중 짝수 : \(\{2, 4, 6\}\)
어떤 사건이 일어날 확률
표본 공간의 모든 원소가 일어날 확률이 같은 경우에는 어떤 사건이 일어날 확률이 같은 경우
\(\Rightarrow \) 사건의 원소의 수 / 표본공간의 원소의 수
어떤 사건 \(A\)가 있을 때,
\(A\)가 일어날 확률을 \(P(A)\)로 표현한다.
- 확률 0인 경우
\(\rightarrow\) 그 사건이 절대로 일어나지 않음 - 확률 1인 경우
\(\rightarrow\) 반드시 그 사건이 일어남
\(\Rightarrow\) 확률은 0에서 1 사이의 값을 가짐
확률의 계산
- 표본 공간의 원소의 수를 세야 함
- 사건의 원소의 수를 세야 함
따라서 경우의 수를 쉽게 셀 수 있는 방법이 필요
\(\Rightarrow\) 조합(Combination) 사용
조합(Combination)
어떤 집합에서 순서에 상관없이 뽑은 원소의 집합

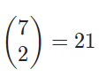
# 예제 1
검은공 3개, 흰공 4개가 있을 때
2개의 공을 무작위로 뽑을 때, 둘 다 흰공이 나올 확률은?
- 표본공간의 원소의 수

- 흰공이 2개 뽑히는 경우의 수

- 확률

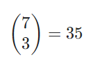
# 예제 2
검은공 3개, 흰공 4개가 있을 때
3개의 공을 무작위로 뽑을 때, 흰공 1개 검은공 2개가 나올 확률은?
- 표본 공간의 원소의 수

- 흰공 1개, 검은공 2개 뽑히는 경우의 수

- 확률

덧셈 법칙(Additivity Law)
덧셈법칙은 합집합의 확률 구하기
# 예제 1. 주사위를 던지는 실험
- 표본 공간
\(S=\{1,2,3,4,5,6\}\)
- 사건 \(A\)
주사위의 숫자가 짝수인 사건
\(P(A) = \frac{1}{2} \)
- 사건 \(B\)
주사위의 숫자가 4 이상인 사건
\(P(B) = \frac{1}{2}\)
- 사건 \(A\)나 사건 \(B\)가 일어날 확률

- 사건 \(A\)와 사건 \(B\)가 동시에 일어날 확률

- \( P(A \cup B) = P(A) + P(B) - P(A \cap B) \)

# 예제 2
1000명의 사람이 있는데, 남자의 비율이 40%, 20세 미만의 비율이 43%,
20세 미만이면서 남자인 사람의 비율이 15%라고 한다.
이 때 한 명의 사람을 랜덤하게 뽑을 때 남자이거나 20세 미만일 확률은?
- 사건 \(A\)
- 남자일 사건
- \(P(A) = 0.4 \)
- 사건 \(B\)
- 20세 미만일 사건
- \(P(B) = 0.43\)
- \(P(A \cap B) = 0.15\)
- \(P(A \cup B) = P(A) + P(B) - P(A \cap B) \)
- \(P(A \cup B) = 0.4 + 0.43 - 0.15 = 0.68 \)
서로 배반(Mutually Exclusive)
- 두 사건의 교집합이 공집합일 경우
- 사건 \(A\)와 사건 \(B\)가 서로 배반
- \(P(A \cap B) = 0\)
- \(P(A \cup B) = P(A) + P(B) \)
- 사건 \(A\)
- 주사위를 던져서 홀수가 나오는 사건
- \(\{1, 3, 5\}\)
- 사건 \(B\)
- 주사위를 던져서 4의 배수 나오는 사건
- \(\{4\}\)
- \(A\)와 \(B\)는 서로 배반
- \(P(A \cup B) = P(A) + P(B) = \frac{1}{2} + \frac{1}{6} = \frac{2}{3} \)
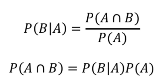
조건부 확률(Conditional Probability)
어떤 사건 \(A\)가 일어났을 때, 다른 사건 \(B\)가 일어날 확률

\(P(A \cap B) \) VS \(P(B|A)\)
- \(P(A \cap B) \)
\(A\)사건과 \(B\)사건이 동시에 발생할 확률
Ex) 주사위에서 4 이상(\(A\))의 짝수(\(B\))
- \(P(B|A)\)
\(A\)사건이 발생한 확률에서 \(B\)의 조건의 확률
Ex) 주사위 숫자 중 4이상의 수(\(A\)) 중에서 짝수인 것(\(B\))
\(\Rightarrow \) 표본공간의 변화 (주사위의 모든 수 \( \rightarrow \) 4 이상의 수)
조건부 확률
주사위를 하나 던졌는데, \(4\)이상의 수가 나옴
이 때, 그 수가 짝수일 확률?

곱셈법칙
곱셈법칙은 교집합의 확률 구하기

# 예제
어떤 학교에서 60%의 학생이 남학생이다.
그 학교 남학생의 경우 80%는 축구를 좋아한다.
그 학교에서 학생 \(I\)명을 랜덤하게 뽑았을 때 축구를 좋아하는 남학생일 확률은?
$$
P(A \cap B) = P(B|A)P(A) = 0.8 \times 0.6 = 0.48
$$
서로 독립
- \(P(B|A) = P(B)\)인 경우
- 사건 \(A\)와 \(B\)는 서로 독립
- \(P(A \cap B) = P(B|A)P(A) = P(B)P(A) = P(A)P(B) \)
# 예제. 주사위를 2개 던지는 실험
- 사건 \(A\)
- 첫번째 주사위의 숫자가 짝수인 사건
- 사건 \(B\)
- 두번째 주사위의 숫자가 짝수인 사건
- \(P(A \cap B) = P(A)P(B) = \frac{1}{4} \)
정리) 배반 사건 VS 독립 사건
- 배반 사건
교집합이 공집합이므로
\(P(A \cap B) = 0 \)
\(P(A \cup B) = P(A) + P(B) \)
- 독립 사건
\(P(B|A) = P(B)\)
\(P(A \cap B) = P(B|A)P(A) = P(B)P(A) = P(A)P(B)\)
Ex) 주사위 2개를 던지기
\(A\) : 첫 번째 주사위에 대한 확률
\(B\) : 두 번째 주사위에 대한 확률
즉, 덧셈법칙인 배반 사건은 두 사건이 서로 완전히 연관되어 있다.
\(\rightarrow\) 사건 \(A\)가 일어나면 사건 \(B\)는 절대로 안 일어남
곱셈법칙인 독립사건은 두 사건이 연관되어 있지 않는다.
여사건
- 사건 \(A\)의 여사건
- 사건 \(A\)가 일어나지 않을 사건
- \(A^c\)로 표시
- 어떤 사건과 그 여사건은 서로 배반
- 둘 중 하나는 반드시 일어남
- \(P(A \cup A^c) = P(A) + P(A^c) = 1 \)
- \(P(A) = 1 - P(A^c) \)

# 예제 주사위 \(I\)개를 던지는 실험
- 사건 \(A\)
- 주사위의 숫자가 짝수인 사건
- 사건 \(A\)의 여사건
- 주사위의 숫자가 짝수가 아닐 사건
- 즉, 주사위의 숫자가 홀수일 사건
확률과 분할 법칙
- 사건 \(B\)는 다음과 같이 나누어짐
- \(B = (A \cap B) \cup (A^c \cap B) \)
- \( (A \cap B)\)와 \((A^c \cap B)\)는 서로 배반
- 따라서,
$$ P(B) = P[(A\cap B) \cup (A^c \cap B)] = p(A \cap B) + P(A^c \cap B) $$

확률의 분할 법칙

# 예제
어떤 사파리에서는 70%가 사자이고, 나머지가 호랑이이다.
사자는 60%가 2살 이상이고, 호랑이는 40% 정도가 2살 이상이다.
전체 동물 중 2살 이상인 동물의 비율은?
- 사건 \(A\)
동물이 사자인 사건
- 사건 \(B\)
동물이 2살 이상인 사건
- \( P(B) = P(B|A)P(A) + P(B|A^c)P(A^c) = 0.6 \times 0.7 + 0.4 \times 0.3 = 0.54 \)
정리)
주어진 문제를 풀 때 곱셈 정리, 덧셈 정리, 분할 법칙 중 어느것을 선택해서 풀 것인지 잘 파악해야됨
\(\Rightarrow \) 주어진 문제에서 사건을 잘 지정해야 되고, 주어진 조건에서 찾아낼 수 있는 확률을 다 찾아야됨
베이즈 정리
앞의 예제에서 동물 한 마리를 랜덤하게 선택했는데, 이 동물이 2살 이상이었다.
이 동물이 사자일 확률은?
이 문제는 \(P(A|B)\)를 구하라는 문제로 변형이 가능하다. (\(P(A)\)와는 다름)

아무 정보가 없었을 때 사자일 확률은 0.7 이지만, 2살 이상이라는 추가 정보로 인해 그 확률이 0.78이 됨.
즉, 추가 정보에 따라 확률이 바뀐다.
- 처음의 확률 (0.7)
\(\rightarrow\)사전 확률 (Prior Probability)
- 수정된 확률 (0.78)
\(\rightarrow\)사후 확률 (Posterior Probability)

- 사건 \(B_1, B_2, \dot, B_k\) 가 표본 공간 \(S\)의 분할

# 예제
어떤 사람이 검은색과 흰색의 셔츠를 가지고 있는데, 매일 아침 3/4 정도는 검은색 셔츠를 입고,
1/4 정도는 흰색 셔츠를 입는다.
이 사람이 검은색 셔츠를 입었을 때는 3/4 정도 넥타이를 매고, 흰색 셔츠를 입었을 때는 1/2 정도 넥타이를 맨다.
어느날 이 사람이 넥타이를 맸다면, 이 사람이 검은색 셔츠를 입었을 확률을 구하시오.
- 사건 \(A\)
아침에 검은색 셔츠를 입는 사건
\(P(A) = \frac{3}{4} \)
- 사건 \(B\)
넥타이를 맨 사건
\(P(B|A) = \frac{3}{4}, P(B|A^c) = \frac{1}{2} \)
- 구하는 확률은 = \(P(A|B)\)를 구하라

'프로그래머스인공지능스쿨' 카테고리의 다른 글
| [3주차 - Day1] 인공지능 수학 - 추정, 검정, 엔트로피 (0) | 2021.05.03 |
|---|---|
| [2주차 - Day4] 인공지능 수학 - 확률과 확률분포(2) (0) | 2021.04.29 |
| [2주차 - Day3] 인공지능 수학 - 자료의 정리(2) (0) | 2021.04.29 |
| [2주차 - Day3] 인공지능 수학 - 자료의 정리(1) (0) | 2021.04.29 |
| [2주차 - Day2] 인공지능 수학 - 미적분(2) (0) | 2021.04.28 |